手机版

百科生活 投稿

spss综合因子得分怎么计算,基于因子分析学生成绩综合评价

百科 2026-03-19 19:16:26 投稿 阅读:4660次

关于【spss综合因子得分怎么计算】,基于因子分析学生成绩综合评价,今天涌涌小编给您分享一下,如果对您有所帮助别忘了关注本站哦。

因子分析在成绩综合评价中的应用

成绩可以是多方面的,包括在校大学生的考试成绩、高考生的入学成绩、公务员考试的笔试(面试)成绩、公司员工或政府官员的测评考核成绩等,本节以学生的考试成绩为例,利用因子分析进行对考核对象的综合评价。

学生成绩能反映学生掌握知识和各种能力的程度,综合得分是评价一个学生学习好坏、评定奖学金和评先评优等工作中最重要的一个指标,也是择优推荐就业很主要的参考因素。因此,合理的、公平的、科学的对学生成绩做出综合评价显得格外重要。

因子分析概念

因子分析是多元统计的重要分析方法之一,其基本思想是根据相关性大小对变量进行分组,使得同组内的变量之间相关性较高,不同组的变量之间相关性较低,每组变量代表了一个基本结构,因子分析中将之称为公共因子。因子分析在教育学、社会经济学、心理学等领域都有广泛的应用价值。

数据来源

spss综合因子得分怎么计算,基于因子分析学生成绩综合评价

SPSS操作

依次单击菜单“分析—降维—因子”执行因子分析过程,选取变量。

spss综合因子得分怎么计算,基于因子分析学生成绩综合评价

点击“描述”按钮,依次选系数、显著性水平、KMO 和巴特利特球形度检验,点击继续,返回主菜单。

spss综合因子得分怎么计算,基于因子分析学生成绩综合评价

单击“提取”按钮,勾选“碎石图”,其他选项默认,选择主成份法进行因子提取。单击“继续”按钮返回主面板。

spss综合因子得分怎么计算,基于因子分析学生成绩综合评价

单击旋转按钮,单击选中最大方差法单选框,表示采用方差最大旋转法进行因子旋转。单击继续按钮返回主面板。

spss综合因子得分怎么计算,基于因子分析学生成绩综合评价

单击得分按钮,勾选底部的显示因子得分系数矩阵复选框。单击继续按钮返回主面板。

spss综合因子得分怎么计算,基于因子分析学生成绩综合评价

设置完毕后,点击确定,生成结果。

spss综合因子得分怎么计算,基于因子分析学生成绩综合评价

结果分析

spss综合因子得分怎么计算,基于因子分析学生成绩综合评价

KMO检验和Bartlett球形检验。如图22-11所示,KMO检验研究变量间的偏相关性,计算偏相关时控制了其他因素的影响,所以比简单相关系数要小,一般KMO统计量大于0.9时效果最佳,0.7以上可以接受,0.5以下不宜作因子分析,本例KMO取值0.857进一步印证了作因子分析的必要性。

Bartlett球形检验统计量的Sig值小于0.01,由此否定相关矩阵为单位阵的零假设,即认为各变量之间存在显著的相关性,这与从相关矩阵得出的结论致。

spss综合因子得分怎么计算,基于因子分析学生成绩综合评价

公因子提取的方差。给出了公因子对初始变量方差的提取情况,也就是常说的变量共同度。其中的“提取”栏就是变量共同度的取值,代表了所有公因子能够解释的每个变量方差的比例,本例的方差提取多数都在70%左右,可见公因子对变量方差的解释效果可以接受。

spss综合因子得分怎么计算,基于因子分析学生成绩综合评价

方差解释表。方差解释表给出了每个因子所解释的总方差比例,以及所解释方差的累计和。观察初始特征值的“累积%”一列,前8各公因子的特征值都大于1,且解释的累计方差达到了68.558%,也就是说总体近70%的信息可以由这8个公共因子来解释,本例就取这前8个公因子进行分析。

最后一栏“旋转平方和载入”表示经过因子旋转后得到的新公因子的方差贡献值、方差贡献率和累计方差贡献率,可以看到和未经旋转相比,每个因子的方差贡献值有变化,但累计方差贡献率不变。

spss综合因子得分怎么计算,基于因子分析学生成绩综合评价

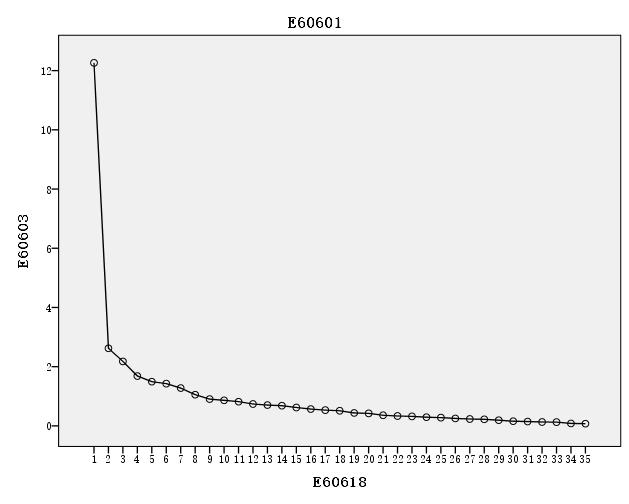
方差解释表,是关于初始特征值(也就是方差贡献)的碎石图,从图中看第1个公因子的方差解释贡献最大,随后因子的方差贡献趋缓。

spss综合因子得分怎么计算,基于因子分析学生成绩综合评价

spss综合因子得分怎么计算,基于因子分析学生成绩综合评价

旋转前后的因子载荷矩阵,给出了旋转前后的因子载荷矩阵,其中“成分矩阵”表是初始的未经旋转的载荷矩阵,“旋转成分矩阵”是经过旋转后的载荷矩阵。一般情况下,经过因子旋转后变量在因子上的载荷分布更加分散,因而比未旋转时容易解释。

spss综合因子得分怎么计算,基于因子分析学生成绩综合评价

因子得分的系数矩阵。输出的是因子得分系数矩阵。对于每个因子,把系数和对应的课程名称相乘后再求和,可以得到最终的因子得分公式,利用它就能够对所有案例进行因子评分了。

例如,因子1的得分公式为:FAC1_1=-0.152*无机一0.065*哲学 0.232*思品一0.054*高数I ... 0.121*微生物 0.069*天然药化-0.040*专业英语-0.154*药理学。

综合评分

如果要关心的是学生的综合能力,可对8个公因子的得分进行加权求和,权数就取其方差贡献值或方差贡献率,参看图22-13中“旋转平方和载入”一栏里的“合计”(方差值)、“方差的%”(方差贡献率)。本例采用方差贡献率作为加权变量,8个旋转后公因子的方差贡献率依次为:13.3%、12.18%、9.71%、9.3%、8.78%、6.74%、4.77%、3.79%。

由此可得学生的综合得分计算公式如下:

ZF=13.30%*FAC1_1 12.18%*FAC2_1 9.71%*FAC3_1 9.30%*FAC4_1 8.78%*FAC5_1 6.74%*FA C6_1 4.77%*FAC7_1 3.79%*FAC8_1,其中FACn_1表示第n个因子的得分。

通过前面的分析,利用因子得分系数和方差贡献率已经得到了能够进行综合评分的公式,由此可以对学生成绩进行更为科学的判断和排序。

本文关键词:spss如何求综合得分,spss因子综fac1,spss求综合得分。这就是关于《spss综合因子得分怎么计算,基于因子分析学生成绩综合评价》的所有内容,希望对您能有所帮助!

本文链接:https://bk.89qw.com/a-865754

最近发表
网站分类