手机版

百科生活 投稿

怎样用数字计算器算根号,教你5秒钟手撕根号运算

百科 2026-02-14 12:45:13 投稿 阅读:3500次

关于【怎样用数字计算器算根号】,教你5秒钟手撕根号运算,今天涌涌小编给您分享一下,如果对您有所帮助别忘了关注本站哦。

在工作和生活中,我们有时会在没有计算器的情况下对开平方做近似计算,尤其是在公务员考试的行政能力测验中,如果要计算两年平均增长率就会计算开方。我向大家介绍一种近似计算方法,这种计算方法非常容易掌握,而且精度较高。先讲具体步骤,再讲其数学原理。

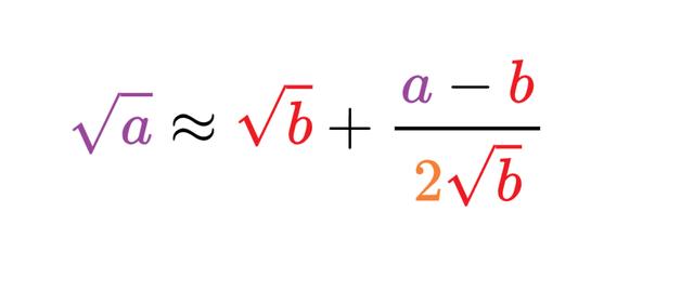
1.计算公式

比如现在计算要对a进行开平方(原谅我用这种表述,主要是编辑公式太麻烦[呲牙]),找到和a最接近的平方数,记这个平方数为b,然后按照下面的公式计算即可。如果大家找到的平方数和要开方的数不是最接近的,也可以用这个方法计算,只是精度要差一些。

怎样用数字计算器算根号,教你5秒钟手撕根号运算

计算公式

2.举例

比如现在计算要对29进行开平方,找到和29最接近的平方数,显然这个平方数为25,带入公式计算得5.4,如题1所示。利用计算器计算得结果为5.385(保留三位小数)。

怎样用数字计算器算根号,教你5秒钟手撕根号运算

图1

再比如现在要计算根号128,找到和128最接近的平方数121(11的平方),代入公式计算得11.318,如图2所示。利用计算器计算得结果为11.314(保留三位小数)。

怎样用数字计算器算根号,教你5秒钟手撕根号运算

图2

再举一个例子,计算根号165,找到和165最接近的平方数169(13的平方),代入公式计算得12.846,如图2所示(注意观察计算过程中出现的负数)。利用计算器计算得结果为12.845(保留三位小数)。

怎样用数字计算器算根号,教你5秒钟手撕根号运算

图3

3.数学原理

其实就是泰勒公式的一阶情况。

本文关键词:用计算器怎么算根号下的数,如何用计算器计算根号,数学计算器根号,如何用计算器求根号的值,如何在计算器上算根号。这就是关于《怎样用数字计算器算根号,教你5秒钟手撕根号运算》的所有内容,希望对您能有所帮助!

本文链接:https://bk.89qw.com/a-870703

最近发表
网站分类