手机版

百科生活 投稿

高中数学微积分解析,定积分及其应用

百科 2026-02-15 19:10:01 投稿 阅读:8672次

关于【高中数学微积分解析】,定积分及其应用,今天小编给您分享一下,如果对您有所帮助别忘了关注本站哦。

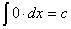
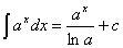
1、基本积分表

(1)

高中数学微积分解析,定积分及其应用

(2)

高中数学微积分解析,定积分及其应用

(3)

高中数学微积分解析,定积分及其应用

(4)

高中数学微积分解析,定积分及其应用

(5)

高中数学微积分解析,定积分及其应用

(6)

高中数学微积分解析,定积分及其应用

(7)

高中数学微积分解析,定积分及其应用

(8)

高中数学微积分解析,定积分及其应用

2、运算公式

(1)

高中数学微积分解析,定积分及其应用

(2)

高中数学微积分解析,定积分及其应用

(3)

高中数学微积分解析,定积分及其应用

3、

高中数学微积分解析,定积分及其应用

高中数学微积分解析,定积分及其应用

例1、若曲线

高中数学微积分解析,定积分及其应用

在x处的导数为

高中数学微积分解析,定积分及其应用

且曲线经过点A(1,3),求

高中数学微积分解析,定积分及其应用

解析式。

解:

高中数学微积分解析,定积分及其应用

,过A ∴

高中数学微积分解析,定积分及其应用

高中数学微积分解析,定积分及其应用

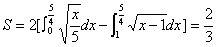
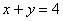
例2、求下列不定积分。

(1)

高中数学微积分解析,定积分及其应用

高中数学微积分解析,定积分及其应用

高中数学微积分解析,定积分及其应用

(2)

高中数学微积分解析,定积分及其应用

高中数学微积分解析,定积分及其应用

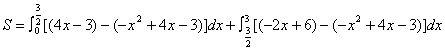
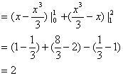
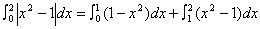
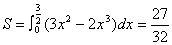
例3、求下列定积分

(1)

高中数学微积分解析,定积分及其应用

高中数学微积分解析,定积分及其应用

高中数学微积分解析,定积分及其应用

(2)

高中数学微积分解析,定积分及其应用

高中数学微积分解析,定积分及其应用

高中数学微积分解析,定积分及其应用

高中数学微积分解析,定积分及其应用

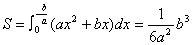
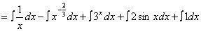
例4、

高中数学微积分解析,定积分及其应用

高中数学微积分解析,定积分及其应用

为何值时,M最小。

解:

高中数学微积分解析,定积分及其应用

高中数学微积分解析,定积分及其应用

高中数学微积分解析,定积分及其应用

时,

高中数学微积分解析,定积分及其应用

例5、已知

高中数学微积分解析,定积分及其应用

高中数学微积分解析,定积分及其应用

,试求

高中数学微积分解析,定积分及其应用

的取值范围。

解:

高中数学微积分解析,定积分及其应用

高中数学微积分解析,定积分及其应用

高中数学微积分解析,定积分及其应用

高中数学微积分解析,定积分及其应用

高中数学微积分解析,定积分及其应用

高中数学微积分解析,定积分及其应用

为方程

高中数学微积分解析,定积分及其应用

两根

高中数学微积分解析,定积分及其应用

高中数学微积分解析,定积分及其应用

高中数学微积分解析,定积分及其应用

高中数学微积分解析,定积分及其应用

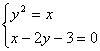
例6、求抛物线

高中数学微积分解析,定积分及其应用

与直线

高中数学微积分解析,定积分及其应用

所围成的图形的面积。

解:

高中数学微积分解析,定积分及其应用

∴ A(1,-1)B(9,3)

高中数学微积分解析,定积分及其应用

高中数学微积分解析,定积分及其应用

高中数学微积分解析,定积分及其应用

例7、求由抛物线

高中数学微积分解析,定积分及其应用

高中数学微积分解析,定积分及其应用

所围成图形的面积。

解:

高中数学微积分解析,定积分及其应用

高中数学微积分解析,定积分及其应用

高中数学微积分解析,定积分及其应用

例8、由抛物线

高中数学微积分解析,定积分及其应用

及其在点A(0,-3),B(3,0)处两切线所围成图形的面积。

解:

高中数学微积分解析,定积分及其应用

高中数学微积分解析,定积分及其应用

∴ P(

高中数学微积分解析,定积分及其应用

高中数学微积分解析,定积分及其应用

高中数学微积分解析,定积分及其应用

高中数学微积分解析,定积分及其应用

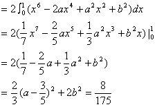
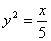
例9、曲线C:

高中数学微积分解析,定积分及其应用

,点

高中数学微积分解析,定积分及其应用

,求过P的切线

高中数学微积分解析,定积分及其应用

与C围成的图形的面积。

解:设切点

高中数学微积分解析,定积分及其应用

,则

高中数学微积分解析,定积分及其应用

切线:

高中数学微积分解析,定积分及其应用

过P(

高中数学微积分解析,定积分及其应用

高中数学微积分解析,定积分及其应用

高中数学微积分解析,定积分及其应用

高中数学微积分解析,定积分及其应用

A(0,1)

高中数学微积分解析,定积分及其应用

高中数学微积分解析,定积分及其应用

高中数学微积分解析,定积分及其应用

B(

高中数学微积分解析,定积分及其应用

高中数学微积分解析,定积分及其应用

高中数学微积分解析,定积分及其应用

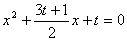
例10、抛物线

高中数学微积分解析,定积分及其应用

在第一象限内与直线

高中数学微积分解析,定积分及其应用

相切。此抛物线与x轴所围成的图形的面积记为S。求使S达到最大值的a,b值,并求

高中数学微积分解析,定积分及其应用

解:依题设可知抛物线为凸形,它与x轴的交点的横坐标分别为

高中数学微积分解析,定积分及其应用

,所以

高中数学微积分解析,定积分及其应用

(1)

又直线

高中数学微积分解析,定积分及其应用

与抛物线相切,即它们有唯一的公共点

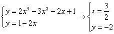
由方程组

高中数学微积分解析,定积分及其应用

高中数学微积分解析,定积分及其应用

,其判别式必须为0,即

高中数学微积分解析,定积分及其应用

于是

高中数学微积分解析,定积分及其应用

,代入(1)式得:

高中数学微积分解析,定积分及其应用

高中数学微积分解析,定积分及其应用

;在

高中数学微积分解析,定积分及其应用

时得唯一驻点

高中数学微积分解析,定积分及其应用

,且当

高中数学微积分解析,定积分及其应用

时,

高中数学微积分解析,定积分及其应用

;当

高中数学微积分解析,定积分及其应用

时,

高中数学微积分解析,定积分及其应用

。故在时,

高中数学微积分解析,定积分及其应用

取得极大值,也是最大值,即

高中数学微积分解析,定积分及其应用

时,S取得最大值,且

高中数学微积分解析,定积分及其应用

--END--

高中数学微积分解析,定积分及其应用

本文关键词:高中微积分例题及解析,高中微积分教学视频,高中数学微积分讲解视频,高中数学微积分解析及答案,高中数学微积分解析题目。这就是关于《高中数学微积分解析,定积分及其应用》的所有内容,希望对您能有所帮助!

本文链接:https://bk.89qw.com/a-872323

最近发表
网站分类