手机版

百科生活 投稿

电力基础知识入门,电气基础知识300个

百科 2026-02-11 20:33:58 投稿 阅读:5721次

关于【电力基础知识入门】,电气基础知识300个,今天小编给您分享一下,如果对您有所帮助别忘了关注本站哦。

#电力科普#

电气专业是电厂的是电力行业最初诞生的始端,也是电力行业的目的所在。今天,我要为大家简单的对发电厂的电气基础知识以文字的形式向大家进行简单的讲解。

电力基础知识入门,电气基础知识300个

本文为电气基础知识的第一部分,其内容分别为以下三个知识点:

1、直流电欧姆定律

2、电功率和电能

3、正弦交流电路

这三个点其实在初高中时就有物理老师给大家讲过了,但是为了让大家对于后续电气专业的知识能够灵活地运用起来,我在本文中还是要为大家做一个讲解。

首先,让我们来回忆一下第一个知识点,直流欧姆定律:

公式我想大家应该还没有忘吧,当年课本上的定义是: 当电阻R一定时,加在电阻两端的电压越大,电流也越大,因此通过电阻的电流与电阻两端的电压成正比。

其公式为:

电力基础知识入门,电气基础知识300个

而在直流电路串联电路中,各个电阻的电流相等,总电压等于各个分电阻的电压之和。

在直流电流并联电路中,各个电阻的电压相等,总电流等于各个分电阻的电流之和。

在串联电路中,总电阻等于各个分电阻之和。

在并联电路中,总电阻的倒数等于各个分电阻的倒数之和。

以上都是当年我们学过的物理知识,现在是不是感觉有点回忆起来了?

接下来为大家解释第二知识点,电功率和电能:

电功率和电能之间的关系非常紧密,第一、电功率代表着在单位时间中电能的变化,用字母P来表示,其单位为瓦特,符号为W。第二、电能在现实中一般常用kwh来表示,也就是1千瓦时为1度电的概念。而在电路中,如果用电器的功率为P,且用电时间为t,则该设备消耗的电能就为功率与其通电时间t的乘积,同样用符号W表示。

电力基础知识入门,电气基础知识300个

现附上功率与电能的计算公式:

电功率计算公式:

电力基础知识入门,电气基础知识300个

电能计算公式:

电力基础知识入门,电气基础知识300个

第三个知识点终于即将来临,但是这却是不少学子的终极噩梦之一 。没错,那就是正弦..........交流电。

其实正弦的相关概念不是很可怕,只是我们对它并不了解,同理正弦交流电也是这样。首先让我们理清楚交流电的基本概念吧。

交流电是指电路中的电动势、电压及电流的大小和方向都随时间变化。若大小和方向随时间按一定规律作周期性变化,这样的交流电叫周期**流电。周期**流电中应用最广泛的是按正弦规律变化的正弦交流电。

简单来说就是,如果直流电的波形只是一条直线,那么交流电波形通常则为做周期性变化的正弦曲线。

那么正弦交流电一般有三个数值,分别为瞬时值、最大值、有效值,其概念分别如下:

1、正弦交流电在变化过程中,任意确定时刻t的数值,称为正弦交流电的瞬时值。瞬时值用小写符号、、表示。

2、正弦交流电的最大值又称为峰值。是指在交流电变化过程中,正弦交流电出现的最大的瞬时值,用符号Em、Im、Um表示。

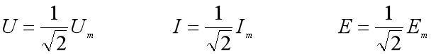
3、而我们在工程应用时,正弦交流电的大小常用用有效值表示(例如在电动机上的的额定电压也就是有效值)。正弦交流电的有效值是根据正弦交流电流与直流电路的热效应相等来定义的。同一电阻分别流过交流电和直流电,如果产生同样的热量,则这个直流电流的大小等效为这个交流电流的有效值。有效值使用大写符号E、U、I表示。

再次为您奉上相关公式:

瞬时值公式:

电力基础知识入门,电气基础知识300个

有效值与最大值的数量关系式:

电力基础知识入门,电气基础知识300个

电力基础知识入门,电气基础知识300个

等等!

电力基础知识入门,电气基础知识300个

这还没完,这里还有更重要的一个知识点还没说呢。

频率与角频率

1、周期。指正弦交流电每循环一次所经历的时间。用符号T表示。

2、频率。指正弦交流电在单位时间(s)内完成循环的次数,用符号表示,单位为赫兹(Hz)。周期和频率的关系如下图:

电力基础知识入门,电气基础知识300个

例如我国用电的标准频率是50Hz,称作工频,按照上述公式可得我国交流电周期为0.02s。

经过了本文的洗礼,我相信各位读者会感觉到身心都受到了洗礼一般浑身通泰。也许它很枯燥,但是我相信如果能够认认真真地读完它,并且按照公式进行练习,我相信还是会很有乐趣的。

其实我想布置一些练习题目的,不过我还没做教学资料,暂时就算了吧。

本文关键词:电力基础知识入门教程,电工初学者入门知识,电力基础知识入门多选题,电力基础知识入门书籍,电力基础知识入门视频。这就是关于《电力基础知识入门,电气基础知识300个》的所有内容,希望对您能有所帮助!

本文链接:https://bk.89qw.com/a-873083

最近发表
网站分类