手机版

百科生活 投稿

函数的三种表示方法,函数的表示方法有哪三种(八年级数学函数的相关概念知识点总结)

百科 2025-12-28 08:05:04 投稿 阅读:1174次

关于【函数的三种表示方法】,函数的表示方法有哪三种,今天小编给您分享一下,如果对您有所帮助别忘了关注本站哦。

  • 内容导航:
  • 1、函数的三种表示方法:八年级数学函数的相关概念知识点总结
  • 2、函数的三种表示方法,函数的表示方法有哪三种

1、函数的三种表示方法:八年级数学函数的相关概念知识点总结

一、函数的概念:

1、函数的定义:

一般地,如果在一个变化过程中有两个变量 x 和 y,并且对于变量 X 的每一个值,变量 y 都有唯一的值与它对应,那么我们称 y 是 x 的函数 (function),其中 x 是自变量。

例如某天的气温随时间变化的曲线如下图所示:

函数的三种表示方法,函数的表示方法有哪三种(八年级数学函数的相关概念知识点总结)

从这条曲线中可以看出气温随着时间的变化而在发生改变,即可以知道不同的时间对应的温度,也可知道同一温度所对应的不用时间。

2、函数的表示法:

可以用三种方法来表示函数: ① 图象法、② 列表法、③ 关系式法 。

3、函数值:

对于自变量在可取值范围内的一个确定的值 a , 函数有唯一确定的对应值,这个对应值称为当自变量等于 a 时的函数值。

二、理解函数概念时应注意的几点:

① 在某一变化过程中有两个变量x与y;

② 这两个变量互相联系,当变量x取一个确定的值时,变量y的值就随之确定;

③ 对于变量 x 的每一个值,变量 y 都有唯一的一个值与它对应。

如在关系式y^2 = x(x>0)中,当 x=9 时,y 对应的值为 3 或 -3,不唯一 ,则 y不是 x的函数。

三、函数的应用:

1、判别是否为函数关系;

2、确定自变量的取值范围;

3、确定实际背景下的函数关系式;

4、由自变量的值求函数值;

5、探索具体问题中的数量关系和变化规律。

四、典例讲解:

例题1、下列各图像中,y 是 x 的函数的图像是 ( D

函数的三种表示方法,函数的表示方法有哪三种(八年级数学函数的相关概念知识点总结)

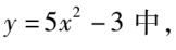
例题2、在函数

函数的三种表示方法,函数的表示方法有哪三种(八年级数学函数的相关概念知识点总结)

变量为 x , y ,常量为5 ,-3,自变量为x ,当 x = -1 时 ,函数值为 2

例题3、一名老师带领 x 名学生到动物园参观。已知成人票每张 30 元 ,学生票每张 10 元。若设门票的总费用为 y 元,则 y 与 x 的函数关系式为 (A

函数的三种表示方法,函数的表示方法有哪三种(八年级数学函数的相关概念知识点总结)

例题4、下面的表格列出了一个实验的统计数据,给出的是皮球从高处落下时弹跳高度 b 与下降高度 d 的关系。下列能表示这种关系的式子是 ( C

函数的三种表示方法,函数的表示方法有哪三种(八年级数学函数的相关概念知识点总结)

例题5、已知两个变量 x , y 满足 2x^2 - 3y + 5 = 0 , 试问:

① y 是 x 的函数吗 ?

② x 是 y 的函数吗 ?若是,写出 y 与 x 的关系式;若不是,请说明理由 。

函数的三种表示方法,函数的表示方法有哪三种(八年级数学函数的相关概念知识点总结)

函数的三种表示方法,函数的表示方法有哪三种(八年级数学函数的相关概念知识点总结)

例题6、如图,在一个半径为 18 cm 的圆面上,从中心挖去一个小圆面,当挖去小圆的半径由小变大时,剩下的一个圆环面积也随之发生变化。

① 在这个变化过程中,自变量是什么?

② 若挖去的圆半径为 x (cm) ,求圆环的面积 y (cm^2) 与 x 之间的关系,并指出 y 是 x 的函数吗?

2、函数的三种表示方法,函数的表示方法有哪三种

一.常用的有解析式法,列表法,图象法

函数的三种表示方法,函数的表示方法有哪三种(八年级数学函数的相关概念知识点总结)

函数的三种表示方法,函数的表示方法有哪三种(八年级数学函数的相关概念知识点总结)

函数的三种表示方法,函数的表示方法有哪三种(八年级数学函数的相关概念知识点总结)

二. 函数求值

例1:

函数的三种表示方法,函数的表示方法有哪三种(八年级数学函数的相关概念知识点总结)

例2.已知fx)= (xR,且x≠﹣1),gx)= 2(xR).

(1)求f(2),g(2)的值;

(2)求ff(2)]的值;

(3)求f[gx)]和g[fx)]的解析式.

【分析】(1)分别令x=2,代入即可求f(2),g(2)的值;

(2)先求出f(2),代入即可求ff(2)]的值;

(3)分别代入即可求f[gx)]和g[fx)]的解析式.

【解答】解:(1)∵fx)= (xR,且x≠﹣1),gx)= 2(xR).

f(2)= =,g(2)= 2=4 2=6;

(2)∵f(2)= ,

ff(2)]=f()= = ;

(3)f[gx)]=fx2 2)= = ,

g[fx)]=g( )=( )2 2.

【点评】本题主要考查函数解析式的应用,根据函数解析式直接代入是解决本题的关键.

本文关键词:对比函数的三种表示方法,函数的三种表示方法教案,一次函数的三种表示方法,函数的三种表示方法例题,函数的三种表示方法教学反思。这就是关于《函数的三种表示方法,函数的表示方法有哪三种(八年级数学函数的相关概念知识点总结)》的所有内容,希望对您能有所帮助!

本文链接:https://bk.89qw.com/a-874066

最近发表
网站分类