手机版

百科生活 投稿

齿轮传动的基本原理,机械传动基础知识

百科 2026-02-16 20:21:14 投稿 阅读:9156次

关于【齿轮传动的基本原理】,机械传动基础知识,今天小编给您分享一下,如果对您有所帮助别忘了关注本站哦。

齿轮传动——利用齿轮副来传递运动和(或)动力的一种机械传动。

一、齿轮传动的常用类型

齿轮传动的基本原理,机械传动基础知识

二、齿轮传动的应用

1.传动比

齿轮传动的基本原理,机械传动基础知识

齿轮传动的传动比是主动齿轮转速与从动齿轮转速之比,也等于两齿轮齿数之反比。

2.应用特点

(1)优点 :能保证瞬时传动比恒定,工作可靠性高,传递运动准确可靠;传递的功率和圆周速度范围较宽;结构紧凑、可实现较大的传动比;传动效率高,使;用寿命长,维护简便。

(2)缺点 :运转过程中有振动、冲击和噪声;齿轮安装要求较高;不能实现无极变速;不适宜用在中心距较大的场合

三、齿轮渐开线的形成

动直线沿着一固定的圆作纯滚动时,此动直线上任一点K的运动轨迹CK称为渐开线,该圆称为渐开线的基圆,其半径以rb表示,直线称为渐开线的发生线。

齿轮传动的基本原理,机械传动基础知识

四、齿轮渐开线性质

发生线在基圆上滚过的线段长等于基圆上被滚过的弧长

渐开线上任意一点的法线必切于基圆

渐开线的形状取决于基圆的大小

渐开线上各点的曲率半径不相等

渐开线上各点的齿形角(压力角)不等

渐开线的起始点在基圆上,基圆内无渐开线

五、渐开线齿廓的啮合特性

能保持瞬时传动比的恒定

具有传动的可分离性

齿轮传动的基本原理,机械传动基础知识

六、斜齿圆柱齿轮传动

1.斜齿圆柱齿轮的形成

齿轮传动的基本原理,机械传动基础知识

齿轮传动的基本原理,机械传动基础知识

2.斜齿圆柱齿轮传动的啮合性能

轮齿的接触线先由短变长,再由长变短,承载能力大,可用于大功率传动。轮齿上的载荷逐渐增加,又逐渐卸掉,承载和卸载平稳,冲击、振动和噪声小。由于轮齿倾斜,传动中会产生一个轴向力。斜齿圆柱齿轮在高速、大功率传动中应用十分广泛。

3.斜齿圆柱齿轮的主要参数和几何尺寸

端面:垂直于齿轮轴线的平面,用 t 作标记

法面:与轮齿齿线垂直的平面,用 n 作标记。

齿轮传动的基本原理,机械传动基础知识

判别方法:将齿轮轴线垂直放置,轮齿自左至右上升者为右旋,反之为左旋。

齿轮传动的基本原理,机械传动基础知识

4.斜齿圆柱齿轮的正确啮合条件

法面模数(法向齿距除以圆周率π所得的商)相等,即m n1= m n2 = m

法面齿形角(法平面内,端面齿廓与分度圆交点处的齿形角)相等,即αn1=αn2 =α

螺旋角相等、旋向相反,即β1= -β2

七、直齿圆锥齿轮传动

以大端的参数作为标准参数。

应满足的条件: 大端端面模数相等。 大端齿形角相等。

齿轮传动的基本原理,机械传动基础知识

八、齿轮齿条传动

齿轮传动的基本原理,机械传动基础知识

1.齿条

齿轮的齿数增加到无穷多时,其圆心位于无穷远处,齿轮上的基圆、分度圆、齿顶圆等各圆成为基线、分度线、齿顶线等互相平行的直线,渐开线齿廓也变成直线齿廓,齿轮即演化成为齿条。

齿轮传动的基本原理,机械传动基础知识

齿条的主要特点: 齿廓上各点的法线相互平行。传动时,齿条作直线运动,且速度大小和方向均一致。齿条齿廓上各点的齿形角均相等,且等于齿廓直线的倾斜角,标准值α为20º。不论在分度线上、齿径线上,还是在与分度线平行的其他直线上,齿距均相等,模数为同一标准值。

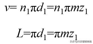
2.齿轮齿条传动 :

齿轮传动的基本原理,机械传动基础知识

v —齿条的移动速度,mm/min

n1—齿轮的转速,r/min

d1——齿轮分度圆直径,mm

m——齿轮的模数,mm

z1——齿轮的齿数

L—齿轮每回转一周齿条的移动距离

本文关键词:齿轮传动概述,齿轮传动原理图,齿轮传动原理简图,齿轮传动讲解,齿轮传动原理是什么。这就是关于《齿轮传动的基本原理,机械传动基础知识》的所有内容,希望对您能有所帮助!

本文链接:https://bk.89qw.com/a-875183

最近发表
网站分类