手机版

百科生活 投稿

杨振宁和爱因斯坦,爱因斯坦与杨振宁的地位(爱因斯坦和杨振宁的理论)

百科 2026-02-07 10:48:01 投稿 阅读:3207次

关于【杨振宁和爱因斯坦】,爱因斯坦与杨振宁的地位,今天小编给您分享一下,如果对您有所帮助别忘了关注本站哦。

  • 内容导航:
  • 1、杨振宁和爱因斯坦:同为诺奖得主,爱因斯坦和杨振宁的理论,哪个更伟大?
  • 2、杨振宁和爱因斯坦,爱因斯坦与杨振宁的地位

1、杨振宁和爱因斯坦:同为诺奖得主,爱因斯坦和杨振宁的理论,哪个更伟大?

爱因斯坦和杨振宁都获得过诺贝尔物理学奖,爱因斯坦是凭借着光电效应获奖的,杨振宁是凭借宇称不守恒获奖的。

杨振宁和爱因斯坦,爱因斯坦与杨振宁的地位(爱因斯坦和杨振宁的理论)

有趣的的是这两个人所获奖的理论,其实都不是他们最优秀的理论,因为爱因斯坦最优秀的理论是狭义相对论和广义相对论,杨振宁最优秀的是杨-米尔斯理论,这两个理论偏偏都没获得诺奖。

杨振宁和爱因斯坦,爱因斯坦与杨振宁的地位(爱因斯坦和杨振宁的理论)

那么获奖际遇如此相似的两位理论物理学家,究竟谁的理论更加伟大呢?

我们先来看看爱因斯坦

狭义相对论和广义相对论无疑是跨时代的理论,它们诞生一百多年以来已经在日常生活和宇宙观测中被广泛利用。

杨振宁和爱因斯坦,爱因斯坦与杨振宁的地位(爱因斯坦和杨振宁的理论)

以现在的角度结合物理诺奖的评判标准来看,爱因斯坦的狭义相对论和广义相对论之所以没得诺奖,纯粹就是它太超前于时代了,因为诺贝尔物理学奖只颁发给已经被完全验证的理论,而在相对论诞生的20世纪初,人类根本没能力完全验证相对论的各项预测,不论是黑洞还是引力波还是时间膨胀,都远超当时的技术验证水平。

杨振宁和爱因斯坦,爱因斯坦与杨振宁的地位(爱因斯坦和杨振宁的理论)

事实上直到今天,对相对论的应用和证实都还在发生,比如2016年人类才首次探测到宇宙中的引力波信号,而此时距离爱因斯坦预言引力波存在已经过了一百多年,黑洞照片也是在2017年才被拍摄到的。

杨振宁和爱因斯坦,爱因斯坦与杨振宁的地位(爱因斯坦和杨振宁的理论)

至于近光速飞行下的明显时间膨胀效应,以及广义相对论中预言存在的虫洞,以目前的技术水平也同样无法验证,保守估计:对爱因斯坦相对论的验证可能还将持续数个世纪才能完成。

不过目前人类其实也享受到了相对论带来的好处,比如狭义相对论中的时间膨胀效应就被运用在了导航卫星身上帮人们定位,狭义相对论中的质能方程还为后来的原子弹氢弹阐明了其能量释放的原理。

杨振宁和爱因斯坦,爱因斯坦与杨振宁的地位(爱因斯坦和杨振宁的理论)

除了硬实力外,在形象方面爱因斯坦作为牛顿以来被全人类所熟知的科学家,他的形象符合大众对科学家的所有幻想:聪明、富有创造力、还带着一点点天真和放荡不羁、以一己之力推动着全人类进步,毫不夸张的说:爱因斯坦帮人类重新认识了这个世界和宇宙。

再来看看杨振宁

杨振宁和爱因斯坦,爱因斯坦与杨振宁的地位(爱因斯坦和杨振宁的理论)

和相对论完全不同的是,杨振宁的杨-米尔斯理论其实更偏向微观以及物理学的本质,也就是基本粒子方面,杨-米尔斯理论,是现代规范场理论的基础,也是20世纪下半叶重要的物理突破,但是在圈外的知名度很低,在普通人看来杨-米尔斯理论太高深,远没有相对论平易近人,杨振宁和米尔斯也没有爱因斯坦的形象讨喜。

杨振宁和爱因斯坦,爱因斯坦与杨振宁的地位(爱因斯坦和杨振宁的理论)

不过这并不妨碍杨-米尔斯理论的伟大,因为该理论虽然没获得诺奖,但它直接或者间接创造了9个诺贝尔物理学奖,有9位物理学家都是在杨-米尔斯理论的基础上研究或者引用,才获得的诺奖。

杨振宁和爱因斯坦,爱因斯坦与杨振宁的地位(爱因斯坦和杨振宁的理论)

可惜的是杨-米尔斯理论不像相对论一样,它目前为止并没有什么在生活中的实际应用,但考虑到它描述的是组成物质世界最基本的微观粒子,也许几百年几千年后,它的作用才会逐渐显现出来,到时候它将引起人类文明新的变革。

总体而言

杨振宁和爱因斯坦,爱因斯坦与杨振宁的地位(爱因斯坦和杨振宁的理论)

相对论和杨-米尔斯理论其实无所谓谁更伟大,因为两者都只是在认识物理规律而已,从认识规律这一点来看,相对论和杨-米尔斯理论以及浮力定律乃至于杠杆原理都是平等的,都属于物理学不同分支的规律。

2、杨振宁和爱因斯坦,爱因斯坦与杨振宁的地位

杨振宁毫无疑问是全世界最伟大的科学家之一,他是当今物理学界泰斗级人物。那么,杨振宁在物理学领域有过哪些重要贡献呢?他在人类史上最伟大的物理学家中能够排上名号吗?

宇称不守恒原理

一直以来,物理学家认为宇称守恒定律始终是成立的。但θ-τ的衰变似乎打破了这个定律,对此,杨振宁和李政道共同提出,宇称守恒定律在弱相互作用中会被打破。很多物理学家不相信宇宙是不守恒的,泡利也是这样坚信,他表示“上帝不会是个左撇子”。

杨振宁和爱因斯坦,爱因斯坦与杨振宁的地位(爱因斯坦和杨振宁的理论)

然而,就在次年,吴健雄的实验没有得到对称结果,这证实了宇称不守恒原理成立。从此之后,人们开始认识到物理定律并不是完全对称的。宇称破缺的发现,成为后来物理学家建立粒子物理标准模型的一个基础。由于这个重大突破,宇称不守恒原理被证明的那一年,杨振宁和李政道就被授予诺贝尔物理学奖。

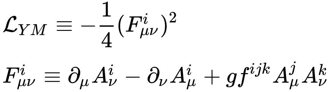
杨-米尔斯理论

另一方面,杨振宁最重要的成就其实是未获得诺奖的杨-米尔斯理论,这就如同爱因斯坦没有因为相对论而获得诺奖那样。杨-米尔斯理论在现代物理学中有着举足轻重的作用,该理论深刻地影响了20世纪中叶以后物理学的发展。

杨振宁和爱因斯坦,爱因斯坦与杨振宁的地位(爱因斯坦和杨振宁的理论)

在19世纪,麦克斯韦认识到电学和磁学在本质上是相同的东西,他创立了电磁学,这是物理学上的第一次统一。进入20世纪之后,物理学家发现了除了引力和电磁力之外的另外两种基本力——弱核力和强核力。物理学家希望,就像电磁场方程组能够统一电力和磁力那样,一个大统一理论就能描述所有的四种基本力。

爱因斯坦在创立广义相对论之后,试图把引力和电磁力统一在一起。但直到他去世,这项工作都没能完成。

杨振宁和爱因斯坦,爱因斯坦与杨振宁的地位(爱因斯坦和杨振宁的理论)

直到1954年,爱因斯坦去世的前一年,杨-米尔斯理论的提出为大统一理论指明了方向。基于杨-米尔斯理论,物理学家统一了电磁力和弱核力,创立了电弱统一理论。在温度极高的早期宇宙中,电磁力和弱核力是统一的电弱力。以此为基础,粒子物理标准模型又把强核力统一进去。也就是说,在杨-米尔斯理论的框架下,除了引力之外的三种基本力已经得到统一,可谓是完成了75%的大统一理论。

除此之外,杨振宁还在统计力学、凝聚态物理学方面取得过突出贡献,有些甚至也是诺奖级的,比如杨-巴克斯特方程,这是杨振宁的第三大物理学成就。正因为杨振宁在物理学中做出了诸多开创性的贡献,他被公认为一代物理学大师,当今第一,足以跻身史上最伟大物理学家的前20名。

本文关键词:杨振宁和爱因斯坦的关系,杨振宁和爱因斯坦和牛顿是一档的吗,爱因斯坦,杨振宁和爱因斯坦谁厉害,杨振宁和爱因斯坦物理学家合照c位。这就是关于《杨振宁和爱因斯坦,爱因斯坦与杨振宁的地位(爱因斯坦和杨振宁的理论)》的所有内容,希望对您能有所帮助!

本文链接:https://bk.89qw.com/a-890046

最近发表
网站分类