手机版

百科生活 投稿

高中数列通项公式累加法,高中数学:等差数列求和公式

百科 2025-10-23 15:15:55 投稿 阅读:7863次

关于【高中数列通项公式累加法】,今天小编给您分享一下,如果对您有所帮助别忘了关注本站哦。

  • 内容导航:
  • 1、高中数列通项公式累加法:高中数学:等差数列求和公式 求和的七种方法,你都会了吗?
  • 2、高中数列通项公式累加法,数列通项公式的十一种求法

1、高中数列通项公式累加法:高中数学:等差数列求和公式 求和的七种方法,你都会了吗?

数学大师

文章来源:高中数学


等差数列是常见数列的一种,可以用AP表示,如果一个数列从第二项起,每一项与它的前一项的差等于同一个常数,这个数列就叫做等差数列,而这个常数叫做等差数列的公差,公差常用字母d表示。



等差数列求和公式



1.公式法

高中数列通项公式累加法,高中数学:等差数列求和公式

2.错位相减法

高中数列通项公式累加法,高中数学:等差数列求和公式




3.求和公式

高中数列通项公式累加法,高中数学:等差数列求和公式




4.分组法

有一类数列,既不是等差数列,也不是等比数列,若将这类数列适当拆开,可分为几个等差、等比或常见的数列,然后分别求和,再将其合并即可.

高中数列通项公式累加法,高中数学:等差数列求和公式



5.裂项相消法

适用于分式形式的通项公式,把一项拆成两个或多个的差的形式,即an=f(n+1)-f(n),然后累加时抵消中间的许多项。

高中数列通项公式累加法,高中数学:等差数列求和公式


【小结】此类变形的特点是将原数列每一项拆为两项之后,其中中间的大部分项都互相抵消了。只剩下有限的几项。
注意:余下的项具有如下的特点1、余下的项前后的位置前后是对称的。2、余下的项前后的正负性是相反的。



6.数学归纳法

一般地,证明一个与正整数n有关的命题,有如下步骤:(1)证明当n取第一个值时命题成立;(2)假设当n=k(k≥n的第一个值,k为自然数)时命题成立,证明当n=k+1时命题也成立。

【例】求证:1×2×3×4 + 2×3×4×5 + 3×4×5×6 + .…… + n(n+1)(n+2)(n+3) = [n(n+1)(n+2)(n+3)(n+4)]/5

证明:当n=1时,有:1×2×3×4 = 24 = 2×3×4×5/5

假设命题在n=k时成立,

于是:1×2x3×4 + 2×3×4×5 + 3×4×5×6 + .…… + k(k+1)(k+2)(k+3) = [k(k+1)(k+2)(k+3)(k+4)]/5

则当n=k+1时有:

1×2×3×4 + 2×3×4×5 + 3×4×5×6 + …… + (k+1)(k+2)(k+3)(k+4)

= 1×2×3×4 + 2×3×4*5 + 3×4×5×6 + …… + k(k+1)(k+2)(k+3) + (k+1)(k+2)(k+3)(k+4)

= [k(k+1)(k+2)(k+3)(k+4)]/5 + (k+1)(k+2)(k+3)(k+4)

= (k+1)(k+2)(k+3)(k+4)*(k/5 +1)

= [(k+1)(k+2)(k+3)(k+4)(k+5)]/5

即n=k+1时原等式仍然成立,归纳得证



7.并项求和法

(常采用先试探后求和的方法)【例】1-2+3-4+5-6+……+(2n-1)-2n

方法一:(并项)求出奇数项和偶数项的和,再相减。

方法二:(1-2)+(3-4)+(5-6)+……+[(2n-1)-2n]

方法三:构造新的数列,可借用等差数列与等比数列的复合。an=n(-1)^(n+1)



等差数列判定及其性质

等差数列的判定
(1)a(n+1)--a(n)=d (d为常数、n ∈N*)[或a(n)--a(n-1)=d,n ∈N*,n ≥2,d是常数]等价于{a(n)}成等差数列。
(2)2a(n+1)=a(n)+a(n+2) [n∈N*] 等价于{a(n)}成等差数列。
(3)a(n)=kn+b [k、b为常数,n∈N*] 等价于{a(n)}成等差数列。
(4)S(n)=A(n)^2 +B(n) [A、B为常数,A不为0,n ∈N* ]等价于{a(n)}为等差数列。


特殊性质
在有穷等差数列中,与首末两项距离相等的两项和相等。并且等于首末两项之和;特别的,若项数为奇数,还等于中间项的2倍,即,a(1)+a(n)=a(2)+a(n-1)=a(3)+a(n-2)=···=2*a中

【例】数列:1,3,5,7,9,11中

a(1)+a(6)=12 ;

a(2)+a(5)=12 ;

a(3)+a(4)=12 ;

 高中数列通项公式累加法,高中数学:等差数列求和公式

即,在有穷等差数列中,与首末两项距离相等的两项和相等。并且等于首末两项之和。


数列:1,3,5,7,9中

a(1)+a(5)=10 ;

a(2)+a(4)=10 ;

a(3)=5=[a(1)+a(5)]/2=[a(2)+a(4)]/2=10/2=5 ;

即,若项数为奇数,和等于中间项的2倍,另见,等差中项。

​数学大师

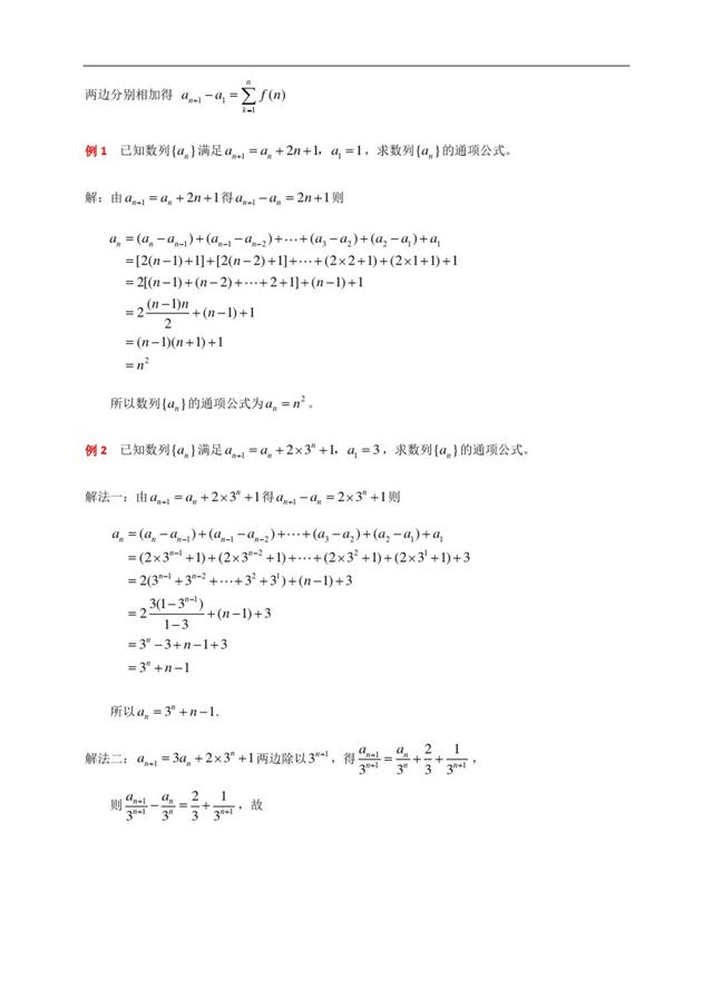
2、高中数列通项公式累加法,数列通项公式的十一种求法

数列知识,是高中数学的一个重要得分点,虽说整体上出题难度中等,但部分考查点也是具有一定难度的。

比如,我们今天要谈的等差、等比的通项公式问题,就让一部分同学都犯头疼,因为每一种数列问题,都存在很多的变形式,而同学却不能很好地应用,有些同学即使勉强掌握了数学的各种形式,但是一到考试的时候,面对多种各种知识点的结合考查,也无从下手,浪费了大量时间,最终题还没有解对,而考试时间是有限的,卡在一题上,也间接影响了其他题的解答,其实这种掌握和不会也没什么区别!

所以,我们不仅要掌握数列,而且还要学会灵活运用!

今天为大家总结了高中数学数列通项公式的十一种求法,这些求法是我们解题答卷常用的,希望大家可以着重了解和灵活掌握!篇幅有限,悄悄说:数列,打印电子版学习!

最后,希望同学们都能成为数列大神,一起来看看具体内容:

高中数列通项公式累加法,高中数学:等差数列求和公式

高中数列通项公式累加法,高中数学:等差数列求和公式

高中数列通项公式累加法,高中数学:等差数列求和公式

高中数列通项公式累加法,高中数学:等差数列求和公式

高中数列通项公式累加法,高中数学:等差数列求和公式

高中数列通项公式累加法,高中数学:等差数列求和公式

本文关键词:高中数列求通项,数列通项累乘法,求数列通项累加法,高中数学数列求通项的几种题型,数列求通项累加法例题。这就是关于《高中数列通项公式累加法,高中数学:等差数列求和公式》的所有内容,希望对您能有所帮助!

本文链接:https://bk.89qw.com/a-891988

最近发表
网站分类