手机版

百科生活 投稿

分形几何学含义,想尝尝“宇宙运行的规律”

百科 2025-10-21 15:26:16 投稿 阅读:4773次

关于【分形几何学含义】,今天小编给您分享一下,如果对您有所帮助别忘了关注本站哦。

  • 内容导航:
  • 1、分形几何学含义:想尝尝“宇宙运行的规律”?那你高低得啃一口这个蔬菜
  • 2、分形几何学含义,分形几何探讨

1、分形几何学含义:想尝尝“宇宙运行的规律”?那你高低得啃一口这个蔬菜

前段时间上映的国产电影《宇宙探索编辑部》,受到了很多观众的好评。电影中,多次出现了螺旋的形状,比如唐志军看到视频录像中两道光是螺旋状的;孙一通把看到的景象用泡泡糖捏成了双螺旋;唐志军在洞穴里也看到了壁画上的螺旋形状;直到影片最后的特效,也做成了螺旋。

分形几何学含义,想尝尝“宇宙运行的规律”

电影《宇宙探索编辑部》海报

影片的观点认为,螺旋是“宇宙万物运行的规律”,从宇宙中的星系到多种植物的中心,再到生命体的遗传物质 DNA,都是螺旋的结构。

回到现实中,不少东西也是按照“螺旋”的法则生长和运作的。

01

植物中的螺旋

1. 罗马花椰菜

罗马花椰菜是由花椰菜和西兰花杂交培育出的品种,它是分形学的代表。

它的花球表面由许多螺旋形的小花组成,整个罗马花椰菜有将近 300 朵这样的小花,每朵小花都是小型圆锥体,也是呈螺旋状紧密排列的。

分形几何学含义,想尝尝“宇宙运行的规律”

罗马花椰菜,图库版权图片,不授权转载

小花以花球中心为对称轴螺旋排列,这种图案是斐波纳契数列(又称黄金分隔数列)的天然代表。

斐波纳契数列的前两项均为“1”,并且从第三项开始,每一项都等于前两项之和,例如:1、1、2、3、5、8、13、21、34……

当项数足够大时,前一项与后一项的比值越来越逼近黄金分割比例——0.618,人们在许多图案设计上,都会考虑应用斐波纳契数列。

2. 松塔

 分形几何学含义,想尝尝“宇宙运行的规律”

你可能经常在公园里见到掉在地上的松塔,它是一种木质的、有鳞的“果子”。

仔细观察,你一定会注意到它们的鳞片螺旋,鳞片可以在潮湿或寒冷时紧闭,保护它们的种子。然后在温度、湿度合适的时候打开,再让风帮助种子传播。

分形几何学含义,想尝尝“宇宙运行的规律”

松果底部螺纹,图片来源:Wikipedia

松果的底部螺旋图案,从两个方向细数这些螺纹构成的数字都是斐波那契数字。

如上图的松塔,逆时针旋转的线条数是 8,而顺时针旋转的线条数是 13;

除了 8 和 13,旋转的线条数还有可能是 5 或 21,这些都是斐波那契数列中存在的数字;

而像 7、9、10、11、12 等不在斐波那契数列中的数字,则不会出现。是不是很神奇?

3. 多肉植物

在植物学中,分形被称为“螺旋叶序”,即植物上的叶子呈螺旋排列。

许多多肉植物的叶子就是这样紧密地按照螺旋结构卷曲生长,形成具有黄金分割比例的自相似螺旋——黄金螺旋

这种排列方式有助于将雨水输送到植物的核心,而且可以防止顶部叶子遮住底部叶子

分形几何学含义,想尝尝“宇宙运行的规律”

芦荟的螺旋叶序,图库版权图片,不授权转载

当然也有一些不同的观点。

曾有一位数学家提出假设,他认为所有植物,以及我们指纹的螺旋图案的出现都是为了缓解生长所受的应力作用。例如,在植物中,随着细胞在不同方向上的分裂生长,它们可能会因为受到相邻细胞或组织的约束而经历机械应力,这种应力会导致组织弯曲和折叠。

02

什么是“分形”

上面提到了那么多次“分形”,分形就是螺旋生长吗?

分形是几何学中的一个概念,指的是简单的相似图案在不同维度上不断重复,构成复杂的图形或形状,这种构形在自然界中无处不在。

早在 1967 年美国数学家本华·曼德博(Benoit B. Mandelbrot)在《科学》杂志上上发表的一篇题为《英国的海岸线有多长?》的论文。文中指出,像是海岸线这种不规则图形,如果选取的测量尺度不一样,测量结果将相差甚远。

如下图,当选择测量尺度很大时,细小的地方没有测量,得到的值会比较小。

而用小尺度测量,得到的结果会大得多。用的尺度越小,得到的值将越大。

分形几何学含义,想尝尝“宇宙运行的规律”

不同测量尺测量英国海岸线,图片来源:Wikipedia

也就是说现实中这种复杂的不规则边界的图形没有准确的周长,并且会随着测量尺度的减小它的周长将趋于无穷。这便是分形理论的萌芽。

后来人们认为,如果这种不规则边界呈现出一种小尺度和大尺度相似的特征,并且无限细分下去都存在这种自相似性,那么这种几何形状就可以被称为“分形”。

03

分形并不都是“螺旋的”

其实,在日常生活中有很多分形的例子,除了开篇提到的罗马花椰菜和松塔,像菠萝的生长、冰晶的形成,也遵循分形规律。

1. 雪花

没有两片雪花是完全相同的,但是它们都有自己的独特的分形。

分形几何学含义,想尝尝“宇宙运行的规律”

图库版权图片,不授权转载

雪花的分支会产生自己的侧分支,如果雪花不停的积聚水分并融合,那么雪花可能会永远这样继续下去。

我们生活中见到的雪花实际上就是经过无数次迭代形成的。

分形几何学含义,想尝尝“宇宙运行的规律”

科赫雪花示意图,图片来源:Wikipedia

这其中最著名的分形图案被称为科赫雪花,它源于一个等边三角形叠加另一个等边三角形,然后再接二连三形成下一个等边三角形。

科赫雪花经过无数次迭代后,它的边角变得非常崎岖,这会使有限面积的雪花蕴藏着无限的周长。

这也与“海岸线有多长”的问题异曲同工。

2. 树枝

对于植物来说,以分形的规律生长,可以让它们最大限度地暴露在阳光下,进行良好的光合作用。同时,也能够高效地将养分输送到自身的各个部位。

树木的生长是自然界中最典型的分形之一。

随着树干的生长,树枝从树干上长出来,而这些树枝本身又会像树干一样,发展出自己的枝条。

仔细观察,你会发现整棵树可以看作“Y”形的重复。

分形几何学含义,想尝尝“宇宙运行的规律”

树木分形,图片来源:Robert Fathauer

这种分形设计,就像多肉植物的螺旋形,帮助树木优化它们对阳光的照射,并防止顶部树枝遮挡较低的树枝。

3. 铜晶体

分形几何在化学中也很常见,铜晶体正是一个典型的代表。

铜晶体像树枝一样向四面八方分支,每根分支又是一个新的生长点往下延续。

分形几何学含义,想尝尝“宇宙运行的规律”

铜晶体,图片拍摄:老猫

正是这样的不断分枝,形成固体金属铜。

由于这种迷幻的树状结构和独特的红棕色,生活中铜晶体经常被当作艺术品。

4. 河流

当我们看地图时,会发现河流总是呈蜿蜒的“S”形,虽然溪流有时可以形成一条直线,但随着它们遇到不同障碍物干扰,很快就会变得弯曲。

只需一次扰动就可以扰乱河流的流动路线,使其全线弯曲。

分形几何学含义,想尝尝“宇宙运行的规律”

图库版权图片,不授权转载

深入研究这些河流后会发现,它们的宽度是非常公式化,一般曲线长度总是通道宽度的六倍。

这种自相似性正是分形的特征,也是世界各地河流看起来相似的原因。

5. 泡沫

在自然界中,当海浪冲击或雨滴落下时出现的气泡会产生一种自相似的模式,液体薄膜将各种大小的气腔隔开。

大气泡旁边散布着小气泡,小气泡旁散布着更小的气泡。

分形几何学含义,想尝尝“宇宙运行的规律”

图库版权图片,不授权转载

我们在咖啡上、洗碗槽、浴缸中见到的泡沫都是一种分形的现象。

自然界中每一中的分形都有它自己的道理,你在自然界中还见到过哪些分形的现象?

参考文献:

[1] "UA Mathematicians Predict Patterns in Fingerprints, Cacti." University of Arizona. 2004.

[2] Peng, Sheng-Lung, Rong-Xia Hao, and Souvik Pal. "Proceedings of First International Conference alt="分形几何学含义,想尝尝“宇宙运行的规律”" src="http://p3.toutiaoimg.com/large/pgc-image/45f689b75b9d436bb93b37b1b73e1303" />

图1. 椰菜花

分形几何学含义,想尝尝“宇宙运行的规律”

图2. 肺组织

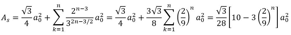
对于日常生活中的直观图形,随着分形的不断深入,图形的总周长和面积将呈现何种趋势?现以正三角形的分形为例进行探讨。

分形几何学含义,想尝尝“宇宙运行的规律”

图3. 正三角形的分形图

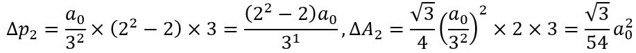
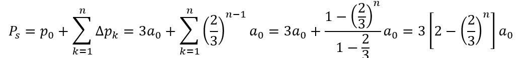
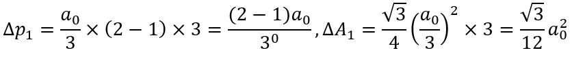
对正三角形的各边三等分,以中间一份的长度为边长作新的正三角形。依次进行下去,对新增的正三角形各边三等分,再以中间一份的长度为边长向外“增生”新的正三角形。下面推导经过 n 次“增生”后,整个图形的周长(实线部分)和面积。

设初始正三角形的边长为a_0,周长和面积分别为p_0和A_0。显然,经过第 k 轮“增生”后,周长有增有减,且增加的部分大于减少的部分,而面积只增不减。设周长的(净)增加值为Δp_k,面积的增加值为ΔA_k(k=1,2,......,n)。

分形几何学含义,想尝尝“宇宙运行的规律”

第一轮“增生”

分形几何学含义,想尝尝“宇宙运行的规律”

第二轮“增生”

分形几何学含义,想尝尝“宇宙运行的规律”

第 n 轮“增生”

分形几何学含义,想尝尝“宇宙运行的规律”

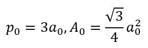
总周长为

分形几何学含义,想尝尝“宇宙运行的规律”

总面积为

分形几何学含义,想尝尝“宇宙运行的规律”

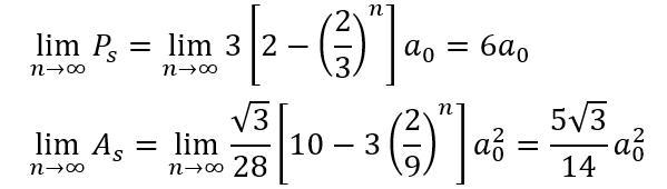
随着分形的无限深入,

分形几何学含义,想尝尝“宇宙运行的规律”

可见,对于这种分形方式的无限进行,总周长和总面积均趋于有限值。

本文关键词:分形几何的原理,分形几何中的技巧,分形几何的典型范例,分形几何的数学基础,分形几何理论。这就是关于《分形几何学含义,想尝尝“宇宙运行的规律”》的所有内容,希望对您能有所帮助!

本文链接:https://bk.89qw.com/a-892920/

最近发表
网站分类